Càlcul de l'escala del visor
En tir de camp o de bosc ens cal poder disposar de la mida del visor a
qualsevol distància. Quan tenim l'arc ajustat prendrem mides entre
10 i 60 metres cada 5 metres per poder disposar de prou precisió.
Això representa una feinada cada cop que modifiquem res en l'arc,
sigui l'alçada del diòpter, la posició del punt
d'encaix de la fletxa sobre la corda, reparar el reposa fletxes, o mil
coses que ens passen just quan s'acosta una competció important.
Malgrat que res no subtitueix l'acurada presa de mides a cada distància
podem aproximar la funció que controla l'escala del visor, tenint en
compte dos efectes, el de la paralaxa i el de la paràbola. El primer
efecte és degut a la diferent alçada entre la fletxa i la
línia de la vista a centre diana; aquest efecte fa que a
distàncies curtes en aproximar-nos a la diana hàgim de baixar
visor en comptes de pujar-lo.
El segon efecte es degut a la gravetat, i causa que el visor hagi de
moure's avall a mesura que ens distanciem de la diana.
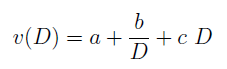
 Efecte de paralaxa
La funció següent s'ajusta molt bé al comportament empíric
del visor:
La funció es composa de la suma de tres termes que representen tres
efectes, el primer degut a la posició del 0 en l'escala del visor,
el segon l'efecte paralaxa, i el tercer l'efecte paràbola.
Aquesta és una funció amb tres coeficients, a, b
i c que podem obtenir a partir de les mides de com a mínim
tres distàncies per regressió.
Aquest mètode permet corregir errors en la la presa de mides
sempre que disposem de prou valors, diguem entre 10 i 60 metres cada 10
metres. Encara que amb menys valors també funciona, sempre que siguin més de
tres.
Atenent a la geometria del nostre arc també podem aproximar-nos als
valors d'aquests tres coeficients. Ens calen dues mesures sobre l'arc,
que anomenarem h i d.
La primera és la distància vertical (en cm) entre el centre del
diòpter amb l'arc obert a plena tracció i el centre de la fletxa. La
segona la distància horitzontal (en cm) entre el centre del
diòpter amb l'arc obert a plena tracció i el punt del visor.
 Mides sobre l'arc a mur
També ens caldran dues mides del visor, una a distància curta
D1, diguem 10m, i una altra a distància llarga D2,
diguem 60m. Aquestes mides seran v1 i v2 en mm sobre
l'escala el visor.
A partir d'aquests valors podem calcular els tres coeficients de la
funció com:
Aquí
podeu baixar-vos un
excel
que us facilitarà la feina, i us proporcionarà un
conjunt complet de mides de visor.
Nomès cal seguir-ne les instruccions.
17 d'agost de 2018
|